Cara Pengiraan Kadar Caruman Kwsp Socso 2019. Korang boleh rujuk pada Jadual EPF dan Jadual Caruman SOCSO yang telah tersedia di bawah.
For more information and source see on this link.

Caruman socso majikan peratus. Kadar peratusan bagi pekerja ialah sebanyak 11 yang bermaksud 11 daripada gaji akan ditolak dan dicarumkan dalam akaun EPF. Cara Pengiraan Kadar Caruman Kwsp Dan Socso 2019. Caruman Kwsp Tujuh Peratus Mulai April Hingga Disember 2020 Pakarhr Sdn Bhd.
Caruman ialah sejumlah wang yang dicarumkan kepada KWSP berdasarkan gaji bulanan seseorang pekerja pada setiap bulan. Cara Pengiraan Kadar Caruman Kwsp Socso 2019. Jumlah Caruman Oleh Majikan Sahaja.
Gaji hingga RM 30. Wajib Tahu Cara Pengiraan Sebenar Epf Socso Supaya Tak Ditipu Oleh Majikan Jadual Ketiga Jadual Caruman Kwsp 11 Peratus Kwsp Caruman Wajib Kadar Caruman Kwsp Terkini Kumpulan Wang Simpanan Pekerja Dulu Lain Sekarang Lain Kwsp Caruman Wajib Kewangan Graduan Do San On Twitter Kwsp 7 Atau 11. Caruman ini akan dimasukkan ke dalam akaun KWSP pekerja berkenaan.
Kadar caruman minimum kwsp pekerja dikurangkan daripada 11 peratus kepada sembilan peratus mulai januari 2021 untuk tempoh 12 bulan. Https Www Kwsp Gov My Documents 20126 273744 Jadual Ketiga 27032020 Bm Pdf. Caruman Bulanan Jadual Caruman Kwsp 11 Peratus.
Pelaksanaannya adalah bertujuan sebagai persediaan awal jikalau terdapat pekerja yang kehilangan kerja disebabkan faktor-faktor tertentu pada masa akan datang. Wajib Tahu Cara Pengiraan Sebenar Epf Socso Supaya Tak Ditipu Oleh Majikan. Majikan juga akan dikenakan faedah pada kadar enam peratus setahun di atas caruman yang lewat dibayar jika lewat mendaftar dalam tempoh ditetapkan.
Jadual Kwsp Tahun 2017 Tarikh Efektif 1 Mac 2016. For more information and source see on this link. 29 Skim Kwsp Untuk Kakitangan Kerajaan Png Kwspblogs.
Gaji bulanan lebih daripada RM 5000. Semua Tentang Tanggungjawab Anda. Manakala bagi majikan pula adalah sebanyak 12.
Caruman KWSP pekerja terdiri daripada caruman bahagian pekerja 11 dan caruman bahagian majikan 12. MAKLUMAT LANJUT PERTANYAAN Dapatkan maklumat lanjut mengenai Faedah Caruman Lewat. Sebagai majikan sebahagian daripada tanggungjawab anda adalah untuk membuat bayaran caruman KWSP bagi pekerja anda di bawah kontrak perkhidmatan atau perantisan.
Jadual caruman sip perkeso 2021 kadar my panduan. Borang socso borang socso 34 borang socso pendaftaran majikan borang socso pencen ilat borang socso hilang upaya. Wajib Tahu Cara Pengiraan Sebenar Epf Socso Supaya Tak Ditipu Oleh Majikan.
Wajib Tahu Cara Pengiraan Sebenar Epf Socso Supaya Tak Ditipu Oleh Majikan. Dan socso kadar caruman ini juga perlu dibuat oleh majikan dan pekerja pada setiap bulan untuk tahun 2021. For more information and source see on this link.
Jadual Kadar Caruman Kwsp 2020 Terkini Spa. Dan socso kadar caruman ini juga perlu dibuat oleh majikan dan pekerja pada setiap bulan untuk tahun 2021. Berikut dikongsikan cara pengiraan kadar caruman KWSP atau EPF dan kadar caruman PERKESO SOCSO yang terkini bagi tahun 2019.
Apabila gaji melebihi RM30 tetapi tidak melebihi RM50. Wajib Tahu Cara Pengiraan Sebenar Epf Socso Supaya Tak Ditipu Oleh Majikan. Kadar caruman ditentukan berdasarkan gaji bulanan.
Dikecualikan kepada penjawat awam pekhidmat domestik dan yang bekerja sendiri. For more information and source see on this link. All About Malaysia در توییتر Kwsp Pengurangan Kadar Caruman Minimum Berkanun Bagi Pekerja Daripada 11 Kepada 7 1 April 31 Disember 2020 Kwsp Epf Malaysia Https T Co Ad2pywfaqj.
28112020 Majikan boleh mendaftar permohonon pekerja mereka untuk mengekalkan caruman syer pekerja pada kadar 11 peratus itu bermula 14 Disember 2020 menurut KWSP. Ini akan memanfaatkan pencarum kwsp dengan nilai. Anda perlu memastikan caruman bulanan mereka dipotong dengan betul daripada gaji bulanan dan dibayar kepada KWSP.
Kwsp Turun 3 Arigatou Sensei Travelog Isma. Caruman Bulanan Jadual Caruman Kwsp 11 Peratus. Menaikkan semula kadar caruman bulanan majikan dan pencarum.
Perkeso telah mengumumkan kenaikan kadar pencen di antara 12 peratus pembayaran pencen ilat tarikh bayaran perkeso 2020. Pelaksanaannya adalah bertujuan sebagai persediaan awal jikalau terdapat pekerja yang kehilangan kerja disebabkan faktor-faktor tertentu pada masa akan datang. Pekerja adalah orang yang diambil bekerja oleh majikan di bawah suatu kontrak perkhidmatan atau perantisan.
Kadar Caruman SOCSO 2018. Sekiranya majikan enggan mencarum SOCSO untuk pekerjanya majikan itu sebenarnya telah melanggar undang-undang dan boleh dikenakan tindakan. Untuk maklumat lanjut anda boleh ke laman web rasmi SOCSO pada pautan ini wwwperkesogovmy.
Semua majikan sektor swasta perlu membayar caruman bulanan bagi setiap pekerja. Wajib Tahu Cara Pengiraan Sebenar Epf Socso Supaya Tak Ditipu Oleh Majikan. Untuk makluman semua kadar caruman syer pekerja KWSP kini kembali ke asal iaitu 11 berkuatkuasa bulan Januari ini.
Caruman Kwsp Tujuh Peratus Mulai April Hingga Disember 2020 Pakarhr Sdn Bhd. Wajib Tahu Cara Pengiraan Sebenar Epf Socso Supaya Tak Ditipu Oleh Majikan. Pada hari ini izinkan kami berkongsi dengan anda tentang cara claim SOCSO dengan mudah.
Caruman Bulanan Jadual Caruman Kwsp 11 Peratus. For more information and source see on this link. Ini bermaksud 12 daripada nilai gaji akan dibayar oleh majikan secara bulanan.
Jadual Kadar Caruman Kwsp 11 Peratus.
.png)
  Wajib Tahu Cara Pengiraan Sebenar Epf Socso Supaya Tak Ditipu Oleh Majikan  
  Wajib Tahu Cara Pengiraan Sebenar Epf Socso Supaya Tak Ditipu Oleh Majikan  

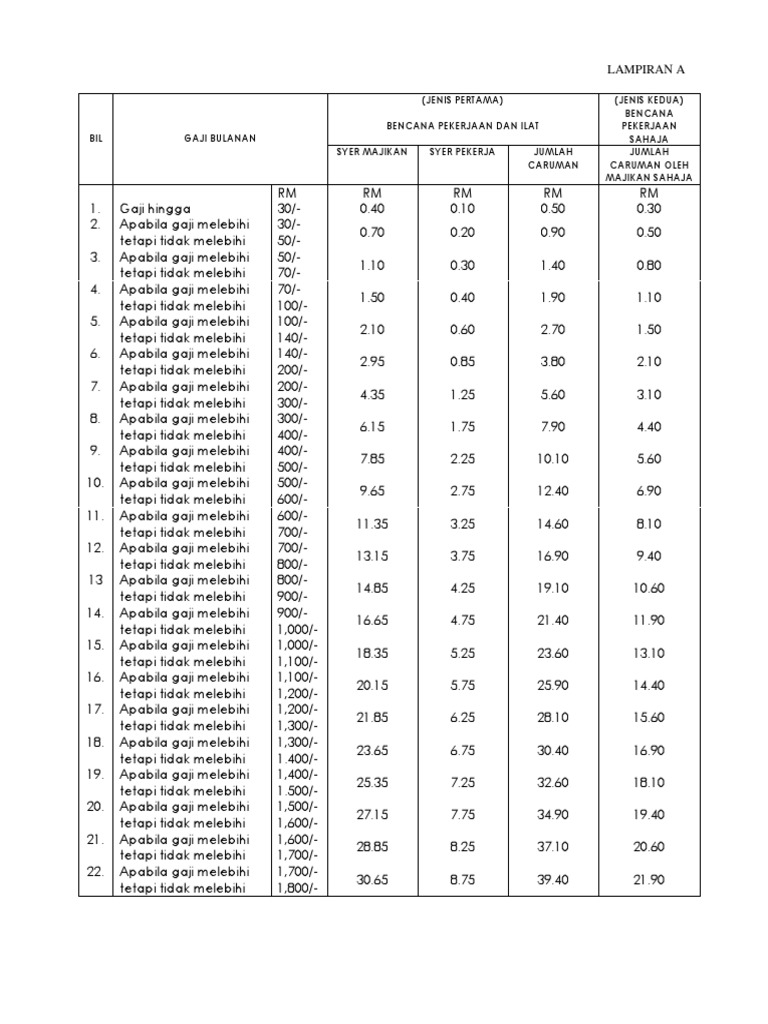
  Cara Pengiraan Kadar Caruman Kwsp Socso 2019  

  Socso Contribution Table Rates Jadual Caruman Socso Nbc Com My  
  Https Static1 Squarespace Com Static 60bf6bff0d8d387fecc8b153 T 60cea455b1a5255f463df6d1 1624155221153 Kadar Caruman Sip Pdf  
  Kadar Caruman Socso Contribution Table 2020  

  Eh Apa Pulak Eis Dalam Slip Gaji Korang Ni  

  Wajib Tahu Cara Pengiraan Sebenar Epf Socso Supaya Tak Ditipu Oleh Majikan  
.png)
  Wajib Tahu Cara Pengiraan Sebenar Epf Socso Supaya Tak Ditipu Oleh Majikan